Counting Over Transcendence
Ramanujan's reciprocal formula, the architecture of 99², and why the prefactor was never bolted on — it was the k=0 case of the same scaling law.
The historical facts in this article follow the standard literature. The broader reading in terms of "counting integers over transcendence" is presented as an interpretive thesis, not standard terminology.
1. The First Mistake Is Linguistic
There is a category error hiding in plain sight. People routinely speak of "Ramanujan's formula for π" or "the Chudnovsky algorithm for π," and in one loose sense that is harmless: both formulas are used to compute π. But the printed equalities are reciprocal equalities. Ramanujan's classic 1914 identity is a formula for 1/π, and Chudnovsky's celebrated series is also a formula for 1/π.
In mathematics, the left-hand side tells you what sort of thing the right-hand side is organized to produce. The right-hand side is not first building π and then politely inverting it afterwards. It is directly summing to a reciprocal circle constant from the outset.
A reciprocal is closer to a density, a rate, or a normalization than to an ordinary magnitude. The popular label "formula for π" subtly encourages readers to imagine a machine whose native output is circumference. The formula itself says otherwise. Its native output is reciprocal circumference under a particular normalization.
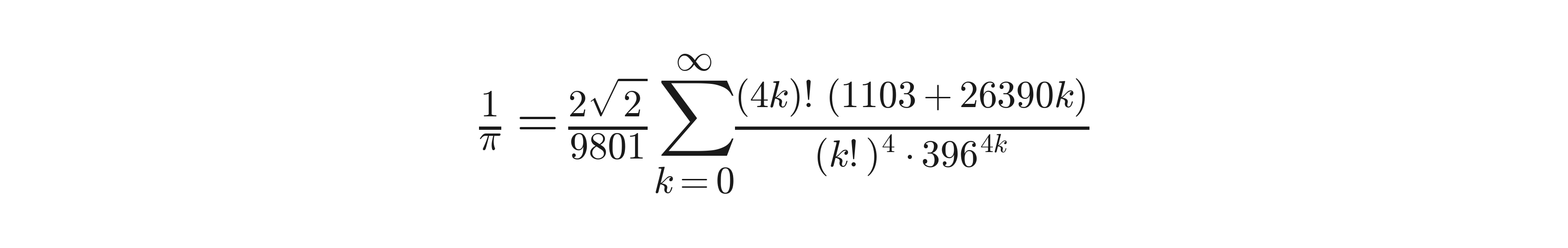
Ramanujan's most famous series — the fastest-converging among his seventeen 1/π series, giving about eight correct decimal digits per term — was used by Gosper in 1985 for a world-record computation. Bailey, Borwein, and Borwein connect it to a modular identity of order 58. Here it is in its standard modern form:

2. What 99² Is Actually Doing — and Where It's Hiding
The integer 9801 looks innocent until it is read as 99². That observation is elementary. But the standard form actively obscures how deep the 99 goes, by splitting the 99-structure across two separate locations and wrapping one of them inside a composite constant.
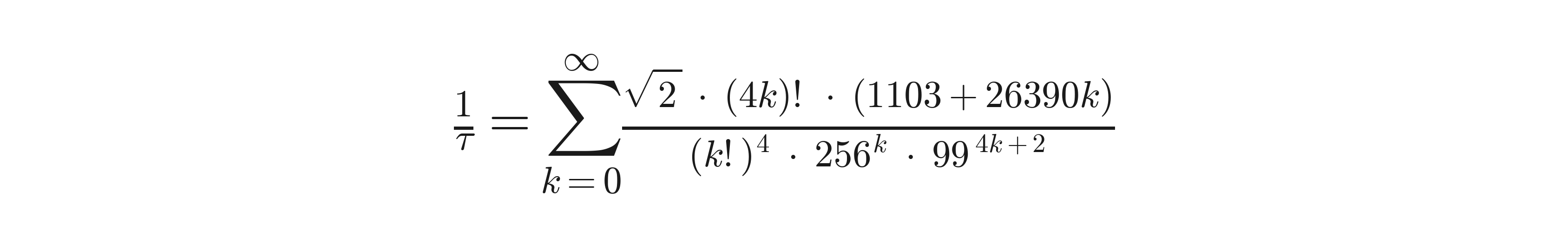
Here is the decomposition. The prefactor contains 9801 = 99². The denominator contains 396⁴ᵏ, and 396 = 4 × 99, so 396⁴ᵏ = 4⁴ᵏ × 99⁴ᵏ = 256ᵏ × 99⁴ᵏ. This is where the standard presentation stops: it notes the 99² outside and the 99⁴ᵏ inside and calls them related.
But there is one more step. Absorb the prefactor into the sum. When you do, the 99² from the prefactor merges with the 99⁴ᵏ from each term's denominator into a single unified power: 99⁴ᵏ⁺². The prefactor was never a separate constant bolted onto the front of the formula. It was the k=0 case of the same scaling law that governs every term.

In this form, the formula separates cleanly into exactly three irreducible ingredients beyond the combinatorial core (4k)!/(k!)⁴:
| Ingredient | Role | Relationship to 99 |
|---|---|---|
| 99⁴ᵏ⁺² | Normalization spine | Is the 99-structure |
| 256ᵏ | Binary scaling factor | gcd(256, 99) = 1 — coprime |
| 1103 + 26390k | Linear integer correction | gcd(1103, 99) = 1, gcd(26390, 99) = 1 — coprime |
Everything that is not the 99-spine is coprime to it. The non-99 ingredients do not partially overlap with 99; they are arithmetically independent of it. This is not a formula where 99 gradually fades into the background. It is a formula where 99 provides the entire power-law normalization scaffolding, and everything else rides cleanly on top.
The 99-spine per term: k=0 gives 99², k=1 gives 99⁶, k=2 gives 99¹⁰, k=3 gives 99¹⁴. The exponent 4k+2 grows linearly — each successive term is normalized by four additional powers of 99.
None of this implies that 99 is magically "the reason" for the formula. Standard mathematics explains Ramanujan-type series through modular equations, singular moduli, class invariants, hypergeometric functions, and elliptic integrals. The visible integer pattern sits on top of that deeper theory; it does not replace it. But the practical point is sharper than popular summaries admit: 99 is not a decorative prefactor. It is a structural spine, and the standard form hides this by splitting it across two locations.
3. Why the Move to 1/τ Is Trivial — and Why That Triviality Is Easy to Miss
Since τ = 2π, one has 1/τ = (1/2)(1/π). The maximally 99-explicit form makes the conversion almost comically visible: the 1/π version has 2√2 in the numerator, the 1/τ version has √2. That's it. The entire 99-spine, the binary factor, the linear correction, the factorial ratio — all identical.

If someone imagines the right-hand side as "the thing that produces π," then turning it into a formula for 1/τ sounds like significant reconstruction. If instead someone begins with the maximally explicit form, the change is immediate. The object was reciprocal all along, and the normalization scaffolding does not depend on whether you read the left-hand side as diameter or full turn.
That point separates two different projects. The easy project is value-level conversion: any exact identity for 1/π can be rewritten as an exact identity for 1/τ by dividing by two. The hard project is architecture-level reformulation: finding formulas whose coefficient laws, residue structures, or recurrence rules are τ-native rather than merely τ-normalized at the end.
4. Counting Integers Over Transcendence
Here standard textbook language runs out, and the interpretive work begins. The phrase "counting integers over transcendence" is not a standard label from the literature. It is a proposed way of reading what these formulas are doing.
On that reading: the index k is a discrete counter, the factorial quotient is a discrete growth law, and the linear term is a local correction. The left-hand side is not an arbitrary irrational target but a reciprocal transcendental normalization. The sum is staging a negotiation between integer growth and transcendental closure.
The maximally 99-explicit form makes this especially vivid. The 99-spine provides a clean integer normalization ladder — each rung four powers of 99 above the last. The combinatorial and linear ingredients provide the counting structure. And the whole assembly lands, exactly, on reciprocal transcendence.
Working thesis: Ramanujan-type series can be read as exact reciprocal identities in which discrete integer-combinatorial growth is normalized by a transcendental circular invariant. The 99-spine is the normalization scaffolding; the coprime ingredients are the counting structure. Together, they are an example of counting integers over transcendence.
The formula does not deny transcendence; it approaches transcendence through a structured staircase of integer-combinatorial terms. The surprise in Ramanujan is not that π shows up at the end. The surprise is that a highly rigid integer architecture, when placed under the right modular normalization, lands exactly on a reciprocal transcendental constant. The formula is not just about a number. It is about a relationship between two regimes of description: discrete counting and transcendental closure.
5. What Is Genuinely Difficult
It is important not to let the clarity of the 1/τ conversion trick us into thinking the larger problem has been solved. The easy part is exact renormalization. The hard part is structural nativity.
A formula is only weakly τ-oriented if it is first built for 1/π and then halved. A formula would be strongly τ-native if full-turn normalization were built into the coefficient law, recurrence relation, or modular seed from the beginning. A post-hoc factor changes the value but not the internal machine.
Ramanujan's formula teaches three precise lessons. First, the reciprocal viewpoint is not optional; it is written into the identity. Second, visible integers such as 99² are often more structurally important than popular summaries admit — and the absorbed-prefactor form proves it by unifying the entire 99-structure into a single exponent. Third, exact τ-normalization is easy enough that it removes one source of confusion and lets the real problem come into focus: not "Can we rewrite 1/π as 1/τ?" but "Can we build nontrivial τ-native coefficient laws without merely relabeling a π-machine?"
Conclusion
The famous Ramanujan series is usually introduced as a jewel in the history of π computation, and that is fair as far as it goes. But it is incomplete. The series is, in exact form, a formula for 1/π. The standard presentation splits the 99-structure across a prefactor (9801 = 99²) and a denominator base (396 = 4 × 99), making them look like separate constants. They are not. Absorb the prefactor and the entire 99-architecture unifies into 99⁴ᵏ⁺² — a single scaling law that was always there, hidden by notational convenience.
What remains after the unification is striking in its cleanness: a combinatorial ratio, a binary power, a linear integer law, and a factor of √2. All coprime to 99. A discrete counting structure riding on an integer normalization spine, landing exactly on reciprocal transcendence.
Writing Ramanujan for 1/τ is not the hard part. Seeing why that trivial rewrite matters is the hard part. It shifts the question from "How do we compute π?" to "What kind of discrete structure is exact enough to land on a reciprocal transcendental constant, and what changes when that constant is normalized by full rotation rather than by diameter?"
That is the formulation worth carrying forward.
References
- S. Ramanujan, "Modular equations and approximations to Pi," Quarterly Journal of Mathematics, 45 (1914), 350–372.
- J. M. Borwein, P. B. Borwein, and D. H. Bailey, "Ramanujan, Modular Equations, and Approximations to Pi or How to Compute One Billion Digits of Pi," American Mathematical Monthly, 96 (1989), 201–219.
- B. C. Berndt, N. D. Baruah, and H. H. Chan, "Ramanujan's Series for 1/π: A Survey," American Mathematical Monthly, 116(7) (2009), 567–587.
- I. Chen and G. Glebov, "On Chudnovsky-Ramanujan Type Formulae," 2017.
- E. W. Weisstein, "Pi Formulas," Wolfram MathWorld.